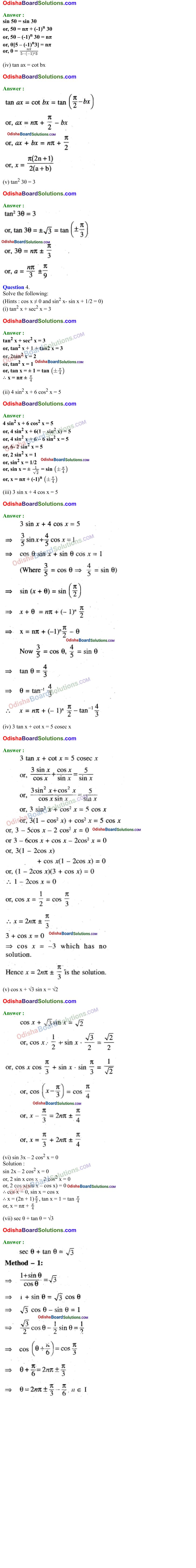
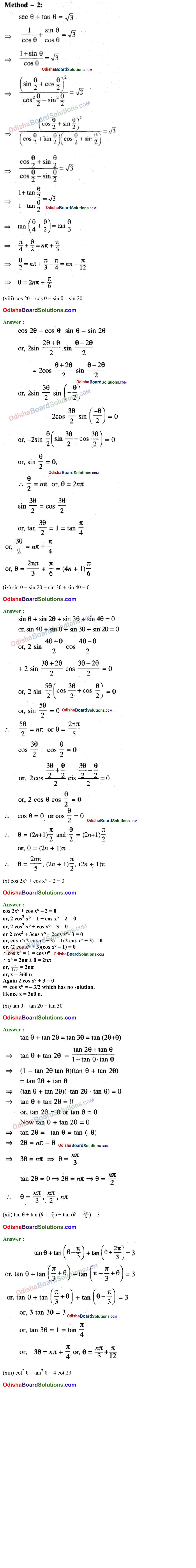
CHSE Odisha Class 11 Math Solutions Chapter 4 Exercise 4(c) Trigonometric Functions September 4, 2024 by admin CHSE Odisha Class 11 Elements Of Mathematics Solutions Chapter 4 Trigonometric Functions Exercise 4(c)